Interest Loan Calculator - RoadRUNNER Motorcycle Touring & Travel Magazine
Why the Interest Loan Calculator Is Changing How Americans Plan Finances
Why the Interest Loan Calculator Is Changing How Americans Plan Finances
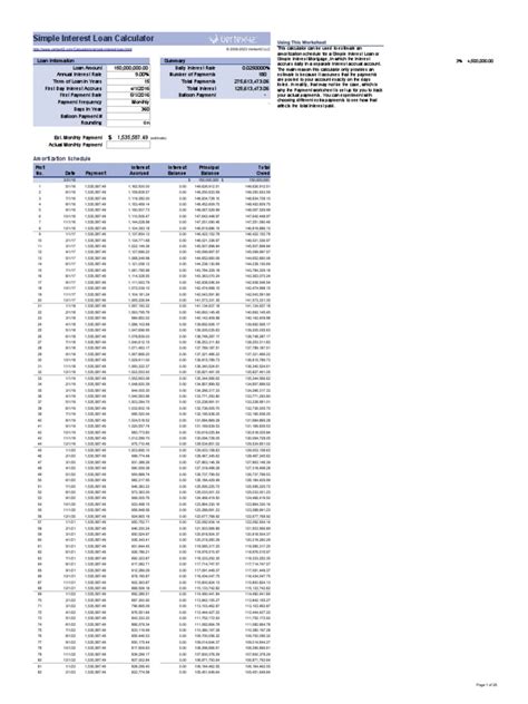
In a landscape where financial decision-making is more data-driven than ever, the interest loan calculator is emerging as a trusted tool for millions of U.S. consumers. With rising interest rates and evolving borrowing habits, people are seeking transparency and clarity when evaluating loan options—where the interest loan calculator delivers precisely that. Originally a niche tool, it’s now a go-to resource for understanding long-term costs, repayment behavior, and financial risk.
Beyond a simple math tool, the interest loan calculator is shaping how individuals assess affordability, compare lenders, and simulate payment scenarios—all essential in an era of financial awareness and changing credit dynamics. Users draw on real-time inputs to explore monthly payments, total interest, and payoff timelines, enabling smarter credit choices grounded in accurate projections.
Understanding the Context
Why the Interest Loan Calculator Is Gaining Trailblazing Traction
Several market and cultural shifts drive growing interest in the interest loan calculator. Widespread financial stress from inflation and soaring borrowing costs has heightened demand for tools that demystify loan expenses. Millennials and Gen Z, in particular, are